
and ![]()
Explore the intersections of the graphs of the functions
and
in xb plane.
We can examine this solution graphically and algebraically
First, we are goint to examine the solution graphically
Draw the graph of the function
. We can rewrite this in terms of b, that is,
This is rational function where its asymptotes are b-axis and b=-x. Here is the graph.

Now, add the graph of the function
.
Since b=-2x, it is the linear function passing the origin and with the slope -2.

As you can see, the graph of
meets the graph of
at two points whose x-coordinators are -1 and 1, respectively. That is, the solutions of these equations are -1 and 1.
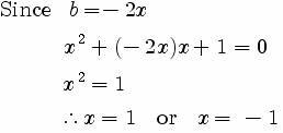
Next, solve the equations in a algebraic way. Substitute b=-2x into our quadratic equation.
